|
 |
| |
酞磺胺噻唑 |
| |
|
别 名:
|
羧苯甲酰磺胺噻唑 PST
|
|
CAS NO.:
|
85-73-4
|
|
分子式:
|
C17H13N3O5S2=403.4
|
|
性 状:
|
本品为白色或类白色结晶粉末,无臭,置光线下外观色渐深,能溶于氢氧化碱和二甲替甲酰胺中,在乙醇中微溶,几乎微溶于水和氯仿中。熔点为198-204℃
|
|
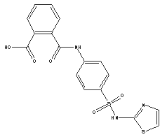
结构式:
|
|
|
适应症:
|
用于胃肠道细菌感染,细菌性痢疾、细菌性溃疡性肠炎亦可用于肠道手术后预防感染。
|
|
药理作用:
|
本品口服吸收不良,在大肠内缓慢分解出磺胺噻唑。仅有5%被大肠吸收,在大肠内的抗菌作用较SG为强,超过SST为2-4倍。
|
|
质量标准:
|
BP2002
|
|
酸 度:
|
≤1ml
|
|
氯化物:
|
≤0.014%
|
|
干燥湿重:
|
≤2%
|
|
炽灼残渣:
|
≤0.1%
|
|
重金属:
|
≤20PPM
|
|
芳香胺及有关物质:
|
≤2%
|
|
含 量:
|
98.5-101.5%
|
|
|
|
|
|